6.897: Advanced Data Structures (Spring 2005)

Prof. Erik Demaine

Lecture 8 -- Page 4 -- 100 DPI

[<< prev lecture <<] -- [< prev page <] -- [> next page >] -- [>> next lecture >>] -- [up to index]

Switch to 50 DPI or 72 DPI or 100 DPI or 150 DPI or 200 DPI

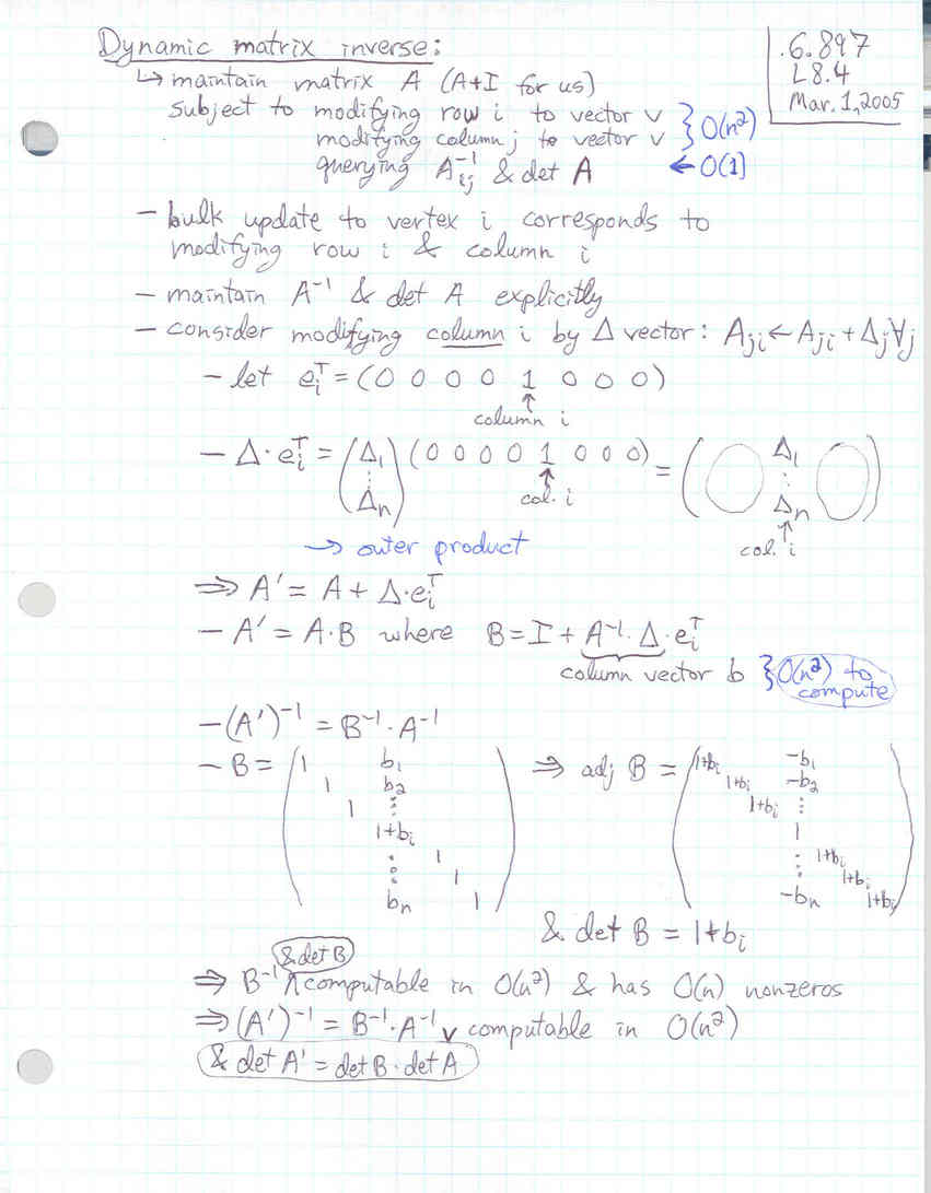
Lecture 8: Dynamic graphs: dynamic directed graphs and shortest paths, O(n2) worst-case dynamic transitive closure, dynamic matrices

These are rough, personal lecture notes handwritten by Erik Demaine used during lecture. Their primary purpose is for reading/review by students of the class. They supplement scribe notes prepared by students. Accessibility

Printable PostScript (requires Level-2 PostScript)

[<< prev lecture <<] -- [< prev page <] -- [> next page >] -- [>> next lecture >>] -- [up to index]

Switch to 50 DPI or 72 DPI or 100 DPI or 150 DPI or 200 DPI