6.897: Advanced Data Structures (Spring 2003)

Prof. Erik Demaine

Lecture 18 -- Page 4 -- 150 DPI

[<< prev lecture <<] -- [< prev page <] -- [> next page >] -- [>> next lecture >>] -- [up to index]

Switch to 50 DPI or 72 DPI or 100 DPI or 150 DPI or 200 DPI

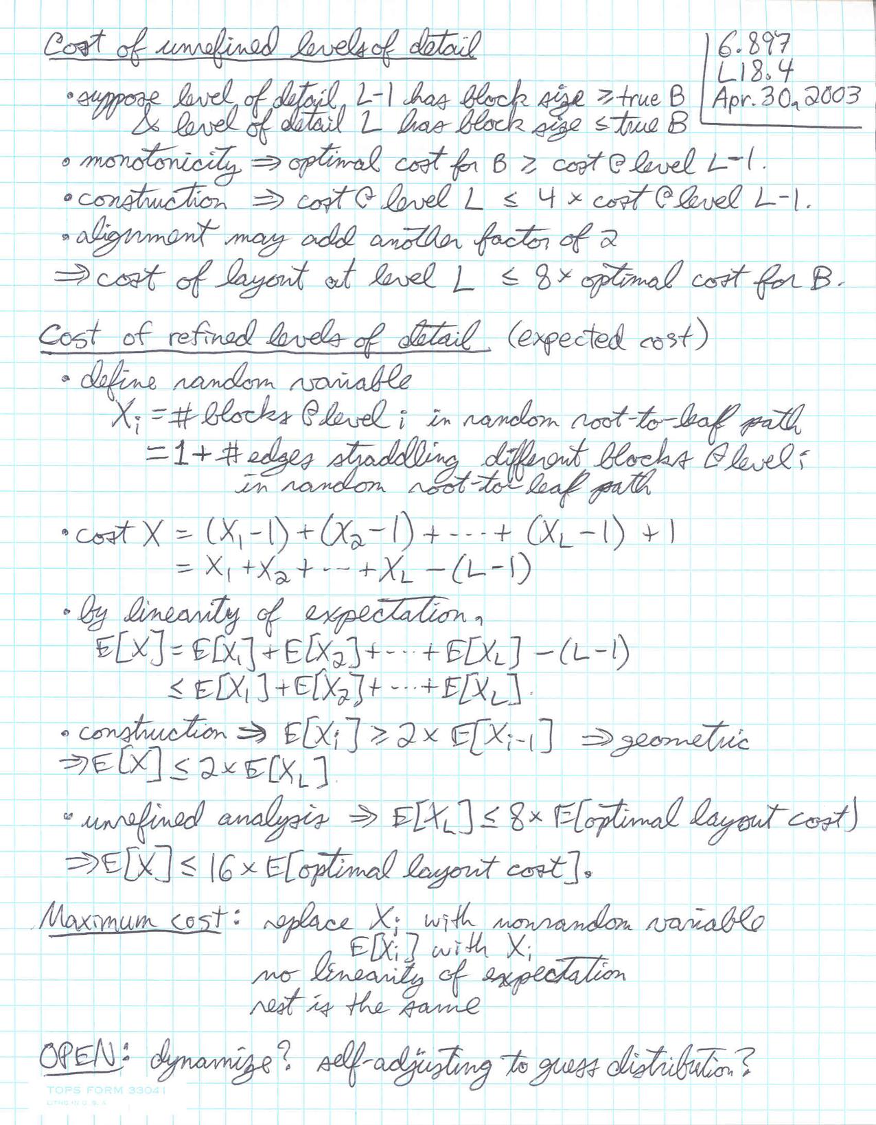
Tree-layout problem, minimizing maximum cost, minimizing expected cost, Split-and-Refine cache-oblivious layout

These are rough, personal lecture notes handwritten by Erik Demaine used during lecture. Their primary purpose is for reading/review by students before the scribe notes (which are more complete) become available. See the scribe notes page. Accessibility

Printable PostScript (requires Level-2 PostScript)

[<< prev lecture <<] -- [< prev page <] -- [> next page >] -- [>> next lecture >>] -- [up to index]

Switch to 50 DPI or 72 DPI or 100 DPI or 150 DPI or 200 DPI